Frontier Applications | How to Characterize the Anti-Freezing Performance of Hydrogels: Low-Field NMR Offers a New Solution
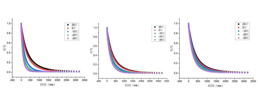
Hydrogels are a class of polymer materials with broad application prospects. However, the high water content in most hydrogels limits their functionality to a narrow temperature range. Developing hydrogels with anti-freezing capabilities and reliable mechanical performance at low temperatures is a promising area of research.
2025-01-16